Skip to content
valikko
esittely
omat koirat
Minttu R.I.P
Minttu – näyttelyt ja kokeet
Kuutti
Kuutti – näyttelyt ja kokeet
Kuutti – SMARTDOG TESTIRAPORTTI – OPPIMINEN, TUNNETILA JA MUISTI
Ruska
Viola
SIJOITUKSESSA
Muistoissa
espanjanvesikoira
Espanjanvesikoiran historiaa
Espanjanvesikoiran turkki ja sen hoito
Rodussa esiintyvät sairaudet
Espajanvesikoira JTO 2022-2026
Perrojen väreistä
Harrastukset
Spanielien taipumuskoe (SPA)
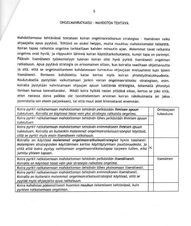
Koiran luonne ja käyttäytyminen
kasvatit
A – pentue
B – pentue
C – pentue
D – pentue
E – pentue
F – pentue
G – pentue
H – pentue
I – pentue
J – pentue
K – pentue
L – pentue
M – pentue
N – pentue
O – pentue
P – pentue
PENTUSUUNNITELMIA LOPPUKEVÄT 2026
Pentuja
Meillekö espanjanvesikoira?
ENS (Early Neurological Stimulation) eli Bio Sensor
Pennun sosiaalistaminen
Espanjanvesikoiran turkki ja sen hoito
linkit
Hilla – Smart DOG testiraportti – Pieni persoonallisuus arvio